The content on this page has been converted from PDF to HTML format using an artificial intelligence (AI) tool as part of our ongoing efforts to improve accessibility and usability of our publications. Note:
- No human verification has been conducted of the converted content.
- While we strive for accuracy errors or omissions may exist.
- This content is provided for informational purposes only and should not be relied upon as a definitive or authoritative source.
- For the official and verified version of the publication, refer to the original PDF document.
If you identify any inaccuracies or have concerns about the content, please contact us at [email protected].
AS TM1: Statutory Money Purchase Illustrations v5.2
AS TM1: Statutory illustrations of Money Purchase benefits
Status
Legislation provides that statutory illustrations including Estimated Retirement Income (ERI) illustrated on pensions dashboards must be produced in accordance with relevant guidance prepared by a prescribed body. The Financial Reporting Council (FRC) has been appointed as the prescribed body for that purpose. AS TM1: Statutory Money Purchase Illustrations is that relevant guidance.
AS TM1 does not replace or amend the legislation. If it appears that any matter in AS TM1 conflicts with any provision of the legislation then the latter will prevail.
The FRC does not accept any liability to any party for any loss, damage or costs howsoever arising, whether directly or indirectly, whether in contract, tort or otherwise from any action or decision taken (or not taken) as a result of any person relying on or otherwise using this document, or any part of it, or arising from any omission from it.
Purpose
The purpose of AS TM1 is to specify the assumptions and methods to be used in the calculation of statutory illustrations of money purchase pensions, for annual benefit statements and pensions dashboards.
Application
AS TM1 applies to the production of any statutory illustration.
Effective date
AS TM1 version 5.2 is effective for statutory illustrations with an illustration date on or after 6 April 2026.
Future changes to AS TM1
The FRC reviews AS TM1 regularly. It is possible that the methods and assumptions used will be amended as a result. It is likely that some of the assumptions in Part C will be changed from time to time, and providers are strongly advised to take account of the possibility of such changes when devising systems to produce statutory illustrations.
A Interpretation
A.1 Interpretation of the text
A.1.1This technical memorandum (AS TM1) should be interpreted in the light of the purpose set out in the rubric on page 1.
A.1.2Providers may adopt a different approach from that specified in AS TM1 if it does not materially affect the result of the calculation of the statutory illustration. For example, this may apply to the order in which the calculations are carried out or the way in which multiple pooled funds are aggregated.
A.1.3Any assumptions that are used which are not specified in AS TM1 should be reasonable. Such assumptions might include the valuation of property assets, the treatment of contributions if payment records are incomplete, or the level of contributions which will be paid to schemes used to satisfy automatic enrolment legislation.
A.1.4If a member’s current fund is invested in a with-profits fund (including with-profits deferred annuity contracts) the statutory illustration should be provided in a manner consistent with AS TM1 and with the insurer’s bonus policy.
A.2 Glossary
A.2.1Terms appearing in bold in the text are used with these meanings:
| Term | Definition |
|---|---|
| accumulation rate | The annual rate of return assumed to be earned up to retirement date from the current fund and future contributions. |
| annuity rate | The value of an annual pension of £1 at retirement date calculated using the assumptions specified in AS TM1. |
| current fund | The value of the relevant assets of the scheme in relation to the member’s money purchase benefits at the illustration date. |
| future contributions | All money purchase contributions due after the illustration date which the provider determines to be part of a regular pre-determined series of contributions expected to continue until the member’s retirement date. |
| illustration date | The date specified by the provider as the date by reference to which amounts are calculated for the purpose of the statutory illustration. The illustration date will normally be the specified date. |
| income drawdown | Income a member draws from their pension fund. |
| inflation factor | The accumulated assumed inflation from the illustration date to the retirement date. |
| inflation rate | The assumed annual rate of inflation. |
| legislation | Legislation governing the provision of statutory illustrations including but not limited to: - the Pension Schemes Act 1993 (c.48) section 113; - the Stakeholder Pension Schemes Regulations 2000 (SI 2000/1403) as amended by SI 2010/2659; - the Occupational, Personal and Stakeholder Pension Schemes (Disclosure of Information) Amendment Regulations 2010 (SI 2010/2659); - the Occupational and Personal Pension Schemes (Disclosure of Information) Regulations 2013 (SI 2013/2734) as amended by SI 2021/1150; - the Occupational and Personal Pension Schemes (Disclosure of Information) (Statements of Benefits: Money Purchase Benefits) (Amendment) Regulations 2021 (SI 2021/1150); and - the Pension Schemes Act 2021 (c.1) Part 4. Northern Ireland has its own body of law relating to pensions with corresponding legislation. |
| lifestyling | A program whereby the investor is switched into less volatile investments as retirement date approaches. |
| member | Any person eligible to receive a statutory illustration from a scheme. |
| net nominal accumulated fund | The current fund and future contributions accumulated to the retirement date adjusted where relevant for tax relief, charges and expenses and the cost of any risk benefits. |
| net real accumulated fund | The net nominal accumulated fund expressed in today’s (inflation adjusted) terms. |
| pooled fund | Collective investment vehicle where the assets of multiple beneficial owners are aggregated into single investment vehicles that have a price for each unit or component of the pooled fund. |
| provider | The trustees or managers of a scheme, or any other party preparing a statutory illustration on their behalf. Other parties might include advisers, insurance companies or software houses. |
| retirement date | A date which the member has specified to the provider and which is acceptable to the provider; or where no acceptable date has been specified by the member, a date specified by the provider. A member may have more than one retirement date for different funds or contracts within a scheme. |
| risk benefits | Benefits payable on death, sickness or critical illness. |
| scheme | A pension arrangement that is required to provide a statutory illustration under the legislation. |
| scheme year | The period specified for the provision of a statutory illustration. |
| specified date | The date the fund is valued for the purpose of the legislation. For an occupational pension scheme, this is normally the last day of the scheme’s administrative year. |
| statutory illustration | The amount of pension at retirement date calculated in accordance with AS TM1. |
| target date fund | A pooled fund that periodically rebalances asset class weights to optimise risk and returns for a pre-determined time frame. |
| volatility | the degree of variation of a trading price series over time. |
| volatility group | a group assigned to an investment according to requirements set out in AS TM1, for the purpose of determining the accumulation rate to be used in the calculation of a statutory illustration. |
B Determining the amount of pension to be illustrated
B.1 Introduction
B.1.1This Part sets out the method which must be followed for calculating statutory illustrations.
B.2 The amount of pension to be illustrated
B.2.1The statutory illustration is the annual amount of pension calculated by dividing the net real accumulated fund (see paragraph B.3) by the annuity rate (see paragraph B.7).
B.2.2The statutory illustration must be shown in whole pounds, rounded down to 3 significant figures. If the result is under £1,000 and is not an exact multiple of £10, it may be rounded down to the next lower multiple of £10.
B.2.3Any resulting monthly pension of less than £10 may be shown as “less than £120 each year".
B.3 Accumulated fund
B.3.1The net real accumulated fund must be calculated by dividing the net nominal accumulated fund by the inflation factor (see paragraph B.3.6).
B.3.2The net nominal accumulated fund must be calculated as the sum of:
- the accumulated current fund, if any;
- the accumulated future contributions, if any; and
- the accumulated amount of any tax relief expected to be reclaimed and credited to the scheme for the benefit of the member in respect of future contributions;
reduced by:
- the accumulated amount of the costs of any risk benefits; and
- the accumulated amount of charges or expenses, if the terms of the scheme require such charges or expenses to be deducted from future contributions or the current fund.
B.3.3Each element of the net nominal accumulated fund must be accumulated from the relevant date to the retirement date at the accumulation rate determined in accordance with paragraphs C.2.3 to C.2.6. The relevant date is:
- for the current fund, the illustration date;
- for each individual payment of future contributions or tax relief, the date on which the payment is due to be received by the scheme; and
- for each individual payment of charges or expenses or cost of risk benefits, the date on which the payment is due to be paid.
Pension policies/plans containing multiple investments
B.3.4When the policy/plan contains multiple investments (whether pooled funds or not):
- Calculate the market value of assets in each of the investments.
- Apportion future contributions to each investment based on the current or known future percentage allocation of contributions to each investment.
- Accumulate each of the investments (current value and future contributions) using the accumulation rate based on the volatility group of the relevant investment.
- The net nominal accumulated fund is the sum across each of the accumulated investments.
B.3.5If the net nominal accumulated fund is less than zero, zero must be used instead.
Inflation factor
B.3.6The inflation factor must be calculated by compounding the inflation rate specified in paragraph C.2.16 from the illustration date to the retirement date.
B.4 Current fund
B.4.1The current fund is the value of the relevant assets of the scheme in relation to the member’s money purchase benefits at the illustration date. The current fund must be based on a realistic asset value such as:
- the market value of the assets;
- the bid value of relevant units;
- for an insured scheme, the policy value on an ongoing basis;
- for a scheme where a member’s rights are determined as a share of the scheme’s assets (i.e. a pooled fund), the value of the member’s share; or
- for a with-profits fund or if assets are not readily marketable, a value consistent with the principles of AS TM1.
B.4.2The current fund includes allowances for any contributions due at the illustration date and for the recovery of any tax due to the illustration date. It is not necessary to discount these allowances from their expected payment dates. Allowances which are unlikely to change the statutory illustration may be omitted.
B.4.3A provider may omit the allowances referred to in paragraph B.4.2 from the current fund, provided that if there are future contributions, any items due but unpaid which have been omitted from the current fund are treated as future contributions.
B.4.4If the member is in receipt of income drawdown in respect of part of the assets of the scheme, those assets must be omitted from the current fund.
B.4.5Outgoing transfer values which have been agreed but not paid on or before the illustration date must not be deducted from the current fund.
B.5 Future contributions
B.5.1Future contributions are all money purchase contributions due after the illustration date which the provider determines to be part of a regular pre-determined series of contributions, irrespective of the formal basis on which contributions are determined. They do not include contributions made after the illustration date which are not part of a series of pre-determined payments which are expected to continue.
B.5.2When determining whether a member should be treated as paying future contributions, providers should take into account factors including the member’s expectations and the certainty of payment. In the following examples the member should normally be treated as paying future contributions:
- a member of an occupational scheme paying a percentage of earnings from time to time (irrespective of whether or not the member has an option to change the percentage rate); an exception might be if the member is employed on a short-term contract and there is no continuity of employment or of contributions;
- a member paying regular contributions into a personal pension or stakeholder pension scheme under a direct debit or standing order;
- it is clear from the provider’s records that regular payments (such as a particular cash amount or a percentage of earnings) are intended; and
- a scheme’s terms describe future money purchase contributions as being single payments, and they form a series of pre-determined payments which are expected to continue until the member reaches retirement date or State Pension Age.
Initial level of future contributions
B.5.3The initial level of future contributions must be the actual amount of future contributions payable for the scheme year following the illustration date if it is known.
B.5.4If paragraph B.5.3 does not apply and if the amount of future contributions is determined as an amount which increases in line with inflation or as a proportion of the member’s earnings, the initial level of future contributions must be the latest known amount of contributions increased for the appropriate period at the rate specified in paragraph C.2.16 or C.2.17 respectively.
B.5.5If neither paragraph B.5.3 nor paragraph B.5.4 applies the initial level of future contributions must be the last known annual amount.
B.5.6If the amount of future contributions is related to the member’s earnings and if the provider does not have detailed information about the member’s earnings or if earnings are expected to fluctuate significantly from year to year, the initial level of future contributions must be estimated.
B.5.7For many occupational schemes the definition of earnings for pension contributions is updated annually, on the first day of the scheme year. In such cases the initial level of future contributions may be based on the member’s earnings on the day after the illustration date. Providers may ignore any information they have about changes in the member’s earnings which occur after the day after the illustration date.
Subsequent levels of future contributions
B.5.8Future contributions must be assumed to increase in accordance with scheme provisions or with recognised practice. If there are no scheme provisions regarding the increase of contributions, or if there is no recognised practice of increasing contributions, future contributions must be assumed to remain unchanged until retirement date.
B.5.9Future contributions which are determined as a proportion of the member’s earnings must be assumed to increase at the rate specified in paragraph C.2.17.
B.5.10Future contributions which increase in line with inflation must be assumed to increase at the rate specified in paragraph C.2.16.
B.5.11It may be assumed that future contributions which relate to the payment of the maximum non-earnings-related amount into a personal or stakeholder pension scheme remain fixed or increase at the rate specified in paragraph C.2.16.
B.5.12If the amounts of contributions payable are subject to a maximum of a fixed monetary amount or a deduction of a fixed monetary amount the provider must deal with the situation in an appropriate manner.
B.5.13A deduction which is specified in such a way that it will, or is expected to, increase broadly in line with State benefits or contribution limits or with earnings must be assumed to increase at the rate specified in paragraph C.2.16 or C.2.17 as appropriate.
B.5.14Contributions which are age-related or term-related must be dealt with in an appropriate manner.
B.5.15If the last known amount of contributions does not relate to a period of 12 months the provider must deal with the situation in an appropriate manner.
Transferred benefits
B.5.16Incoming transfer values which have been agreed but are outstanding at the illustration date must not be included in future contributions.
B.6 Risk benefits
Initial level of the cost of risk benefits
B.6.1If the cost of risk benefits payable for the scheme year following the illustration date is known, it should normally be used for the initial level of the cost of risk benefits.
B.6.2If paragraph B.6.1 does not apply and if the cost of risk benefits is determined as an amount which increases in line with inflation or as a proportion of the member’s earnings, the initial cost of risk benefits should be the latest known cost increased for the appropriate period at the rate specified in paragraph C.2.16 or C.2.17 respectively.
B.6.3If neither paragraph B.6.1 nor paragraph B.6.2 applies, the initial cost of risk benefits should be the last known annual amount.
B.6.4If the last known cost of risk benefits does not relate to a period of 12 months the provider must deal with the situation in an appropriate manner.
Subsequent levels of the cost of risk benefits
B.6.5If risk benefits are determined as a proportion of the member’s earnings their cost must be assumed to increase at the rate specified in paragraph C.2.17.
B.6.6If the cost of risk benefits increases in line with inflation it must be assumed to increase at the rate specified in paragraph C.2.16.
B.6.7If the cost of risk benefits increases as the member ages then providers must deal with the situation in an appropriate manner.
B.6.8If none of paragraphs B.6.5 to B.6.7 applies, the cost of risk benefits must be assumed to increase at the rate specified in paragraph C.2.16.
B.7 Annuity rate
B.7.1The annuity rate is the value of an annual pension of £1 at retirement date calculated using the assumptions in Part C.
B.8 General considerations
B.8.1Appropriate adjustments to the calculations must be made if a scheme year is not a period of 12 months.
Where annual rates are specified in Part C, the equivalent rates for part of a year should be calculated as the appropriate root of the annual rate, not as an arithmetic proportion. For example, the monthly rate equivalent to 2.5% per annum is approximately 0.00206 (1.025^(1/12)-1) and not 0.00208 (0.025/12).
B.8.2If it is necessary to calculate the period between two dates, the period must be calculated to an exact number of months or more accurately (for example, to the exact number of days).
B.8.3Similarly, if contributions will continue for part of a year, statutory illustrations must include an allowance for such contributions for an exact number of months or more accurately. The pension illustrated must be shown as an annual amount.
C Assumptions
C.1 Introduction
C.1.1This Part sets out the actuarial assumptions which must be used in providing statutory illustrations.
C.2 Accumulation
C.2.1This section specifies the assumptions to be used in determining the net real accumulated fund.
Mortality
C.2.2No allowance is to be made for mortality before retirement (other than in the calculation of the cost of any risk benefits).
Accumulation rate
C.2.3The accumulation rate must be based on the rates specified in paragraph C.2.4 before the deduction of expenses or charges.
C.2.4The accumulation rate must be determined according to the fund’s volatility group as specified in paragraphs C.2.7 to C.2.15. Each investment will then have a nominal accumulation rate based on the volatility group in which it is placed as follows:
| Volatility Group | Accumulation Rate |
|---|---|
| 1 | 2%pa |
| 2 | 4%pa |
| 3 | 6%pa |
| 4 | 7%pa |
C.2.5Where the investment strategy includes lifestyling it must be assumed that the fund switches occur in the future at the ages anticipated in the program.
C.2.6Where investment is in a target date fund, the accumulation of the fund should be calculated in the same way as would be done for an equivalent lifestyling arrangement as specified in paragraph C.2.5.
Volatility Group
C.2.7Each investment must be assigned to a volatility group, determined by its volatility as described below.
C.2.8The volatility of the investment must be calculated from monthly returns of the fund over a 5-year period ending on 30 September (or immediate previous date on which prices are published if prices are not available on 30 September) preceding the financial year (6 April to 5 April) of the illustration date.
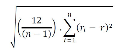
C.2.9Subject to paragraph C.2.10 (and where neither paragraph C.2.14 nor paragraph C.2.15 applies), the volatility of the investment must be calculated using the following formula:

where:
n = number of returns in the data, i.e. 60.
rt = return of the investment over month t (for each of the 60 months in the period), excluding any discretionary benefits added to the fund, and net of any expenses or charges which are reflected in the unit price. r = arithmetic mean of the monthly returns over the 60-month period.
C.2.10Where the investment does not have a full returns history required to carry out the calculation specified in paragraph C.2.9, the methodology for the calculation of volatility of the investment must be adjusted according to the following steps:
- Take the relevant available history of the returns of the investment;
- Identify an existing investment with a full returns history for the period which is deemed to have similar characteristics, by way of the investment’s target asset mix or benchmark;
- Compute the returns of the investment identified in b) from the beginning of the sample period, as required in paragraph C.2.9, until the date of availability of the actual returns of the investment;
- Concatenate both returns series to one series over the full sample period as required in paragraph C.2.9 and estimate the volatility of the investment in accordance with paragraph C.2.9.
- Where an existing investment with a full returns history for the period which is deemed to have similar characteristics cannot be identified, the volatility of the investment must be calculated as set out in paragraph C.2.9 based on the number of months for which the investment has published prices and where 60 is replaced with the number of months for which published prices are available.
C.2.11The volatility must be used to assign the investment to a volatility group calculated from the following table (subject to requirements set out in paragraph C.2.12):
| Volatility | Volatility Group | |
|---|---|---|
| Equal to or above | Less than | |
| 0% | 5% | 1 |
| 5% | 10% | 2 |
| 10% | 15% | 3 |
| 15% | Unlimited | 4 |
C.2.12Where an investment has previously been assigned a volatility group, it should remain in this volatility group unless it breaches the limit of that group at the illustration date by more than 0.5%.
C.2.13Where with-profits funds and unquoted assets are contained within an investment and are reflected within the investment’s unit price no adjustment is required.
C.2.14Where a with-profits fund does not have a unit price the allocation to a volatility group should be made consistently with the above table and based on the unsmoothed market value of the fund. If the fund contains a guaranteed rate of return which exceeds the accumulation rate derived in this way then the higher guaranteed rate should be used.
C.2.15Where volatility cannot be determined reliably following the approach set out in paragraphs C.2.7 to C.2.10, either for a pooled fund, or where the assets are invested other than in pooled funds, that portion of the current fund should be assigned to volatility group 3. The guidance attached to this document describes circumstances under which we expect that volatility cannot be determined reliably.
Rates of increase in inflation and earnings
C.2.16The inflation rate must be 2.5% per annum compound.
C.2.17Earnings and any earnings-related indices must be assumed to increase at 2.5% per annum compound.
Expenses
C.2.18If the terms of a scheme require future charges or expenses to be deducted from future contributions or the current fund, then:
- for schemes subject to the FCA Rules on projections, charges or expenses must be assumed to be an amount not less than those required by the FCA Rules;
- for other schemes, amounts no less than the actual charges or expenses of the member’s arrangement must be assumed. The assumed charges or expenses should include the costs of investment management, but exclude any dealing costs for the underlying portfolio and any routine management and servicing costs of existing property investments.
C.2.19Future charges or expenses which are related to future contributions (such as those which are calculated as a percentage of contributions) must be calculated by reference to the future contributions.
C.2.20Future charges or expenses up to retirement date which are related to the scheme’s assets must be calculated using a projected fund as at each annual anniversary of the illustration date or, more frequently, from the illustration date to the retirement date. The projected funds must be based on the current fund and allow for any future contributions, tax relief, the cost of risk benefits and relevant charges or expenses.
C.2.21If future charges or expenses are not known and cannot reasonably be obtained or estimated, the approach set out in paragraph C.2.20 must be used with charges or expenses of 1% per annum of the projected fund at the start of each year.
C.2.22Future charges or expenses which relate to the member’s arrangement and which are not deducted from future contributions or from the underlying assets must be ignored for the production of the statutory illustration.
Tax relief on contributions
C.2.23Tax relief must be assumed to be at the rate at which it is expected to be reclaimed. The expected rate should allow for any known future changes.
C.3 Annuity
Lump sum at retirement
C.3.1It must be assumed that no lump sum is to be paid at retirement date.
Form of annuity
C.3.2The pension illustrated must be assumed to be payable monthly in advance.
C.3.3It must be assumed that the statutory illustration is paid throughout the lifetime of the retiree without any reversionary pension or increases in payment, unless there are legal requirements providing for reversionary pensions or increases. The pension illustrated must be assumed to include a 5 year guarantee period.
Interest rates
C.3.4The rate of interest must be determined as at each 15 February. This rate must be used for all statutory illustrations with illustration dates occurring in the following financial year (6 April to 5 April). If the information on which the rate of interest is to be based is not published for 15 February, providers must use the relevant information for the previous business day for which such information is published.
C.3.5The annuity rate must be calculated using the FTSE Actuaries' Government 15 year Fixed Interest Yield Index.
C.3.6The interest rate must be rounded to the nearest multiple of 0.2%. Intermediate exact multiples of 0.1% should be rounded down.
C.3.7Published interest rates must be used without any adjustments (such as to convert the published rate from a convertible half-yearly rate to an annual rate).
Expenses
C.3.8An allowance of 4% of the value of the annuity at retirement must be made for expenses.
Mortality
C.3.9The mortality of the member must be based on the year of birth rate derived from the Institute and Faculty of Actuaries' Continuous Mortality Investigation tables PFA16 and PMA16 and including mortality improvements derived from each of the male and female annual mortality projection models, in equal parts. The mortality improvement tables shall be the standard model and the resulting mortality table shall be as published by the CMI and published on the website of the Institute and Faculty of Actuaries website. All extended and advanced parameters should be set at their core values.
C.3.10For statutory illustrations produced with illustration dates in the range 6 April 20YY to 5 April (20YY+1), mortality improvements must be derived from the CMI mortality projection models¹ CMI_(20YY-2)F[1.25%] and CMI(20YY-2)_M[1.25%].
C.3.11For example, statutory illustrations produced with an illustration date of 6 April 2024 the mortality assumptions must be based on
50% of PMA16 including improvements based on CMI_(2022)M[1.25%] + 50% of PFA16 including improvements based on CMI(2022)_F[1.25%].
Guaranteed annuity terms
C.3.12Account must be taken of guaranteed annuity terms available to the member which produce a higher amount of initial pension as at the retirement date than would be produced using the assumptions in this Part C. Where account is taken of guaranteed annuity terms, this should be stated alongside the statutory illustration.
Financial Reporting Council
London office: 13th Floor, 1 Harbour Exchange Square, London, E14 9GE
Birmingham office: 5th Floor, 3 Arena Central, Bridge Street, Birmingham, B1 2AX
+44 (0)20 7492 2300
www.frc.org.uk
Follow us on Linked in
-
The model can be found at: https://www.actuaries.org.uk/learn-and-develop/continuous-mortality-investigation CMI_20NN_x [a%] refers to the model published by the CMI where: * 20NN is the version number of the model reflecting the year of its publication; * x is the gender and is either M (male) or F (female); and * a% is the long-term rate of mortality improvement. ↩